Paddenstoelen, belangrijke voedingsbron van ergothioneïne
Ergothioneïne
Een antioxidant par excellence

In deze bijdrage hebben we het over een thion dat ook een thiol is en dat als antioxidant uitblinkt. Over ergothioneïne dus - en daarbij mag je onmiddellijk aan paddenstoelen denken. Schrijnend wel is het klinisch onderzoek dat weer achterop hinkt. Is dit het nutriënt waarop we al honderd jaar wachten?

De stof werd al in 1905 ontdekt maar kwam pas vanaf 2010 echt in de belangstelling als nutraceutical.1 Ergothioneïne, een betaïne-aminozuur of zoals je wilt een trimetyl-histidine uitgerust met een zwavelkop (zie figuur 1).2

Het laatste decennium is er ongeveer evenveel over gedocumenteerd geweest als tussen 1905 en 2005.3 We treffen de stof bijna universeel aan bij planten en dieren maar de productie ligt – zover we weten – in handen van schimmels en bacteriën. Dat strookt met het idee dat we te maken hebben met een vitamineachtige stof. Paddenstoelen zijn voor de meesten onder ons de meest typische voedingsbron.

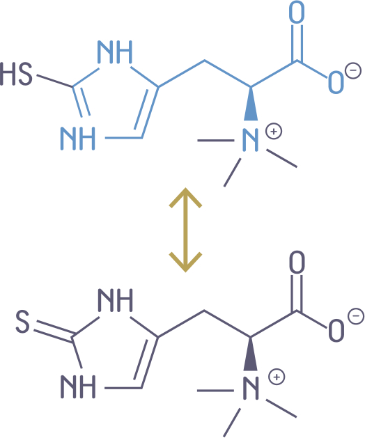
Structuur van ergothioneïne
figuur 1 Chemische structuur van ergothioneïne als thiol (bovenaan). Blauw gekleurd is de structuur van histidine. Onderaan als ketothion of thion, de alternatieve gedaante die ergothioneïne kan aannemen.

Fysiologie

In de dunne darm zitten transporters die het aminozuur actief opnemen en in de nieren zitten dezelfde transporters om de uitscheiding ervan te verhinderen.1 De transporter voert nog andere stoffen in - acetylcholine, carnitine, spermine en andere – maar lijkt volledig op maat gemaakt te zijn voor ergothioneïne. Dat is zelfs klinisch bewezen: na suppletie stijgt het plasmaniveau snel, maar de excretie naar de urine blijft beperkt.1

De transporter (SLC22A4, ook OCTN1) is bovendien in de meeste weefsels actief, zoals in hersenen, ogen, bijnieren, beenmerg en immuuncellen. De expressie van de transporter kan ook opgevoerd worden bij weefselschade. Rode bloedcellen zijn er tuk op, die bevatten vijftig maal hogere concentraties dan het plasma, en ook het beenmerg kan veel opstapelen.3 Ergothioneïne is tevens aanwezig in de borstvoeding.

De halfwaardetijd wordt geschat op een maand.4

Genetische varianten maken dat sommige mensen minder ergothioneïne opnemen of bijhouden, maar een relatie met ziekte is nog niet onderzocht.3 Ergothioneïne is wellicht aanwezig in de mitochondriën.4

Antioxidant

Net zoals glutathion is ergothioneïne een krachtige antioxidant. Uniek aan ergothioneïne is zijn ‘uitzonderlijke’ stabiliteit.4 Het reageert sneller met zuurstofradicalen dan andere thiolen en de geoxideerde vorm van ergothioneïne kan snel gerecupereerd worden met vitamine C, glutathion-reductase of thioredoxine-reductase. Aanwijzingen zijn er uit dierproeven dat cellen ergothioneïne opnemen om zich beter te beschermen tegen oxidatieve schade.1

Chelatie van metaalionen is nog een manier om de rol van antioxidant op zich te nemen.8 Door koper (Cu2+) en ijzer (Fe2+) aan zich te binden, kunnen die niet meer deelnemen aan redox(ketting)reacties die het schadelijke OH opwekken.2 Mogelijk kan het ook kwik en kobalt neutraliseren.2

Bovendien kan ergothioneïne Nrf2 activeren, een trigger die een veel bredere antioxidant-respons oproept.1 Bij ratten met diabetes bijvoorbeeld kon 35 mg ergothioneïne per b.w. (lichaamsgewicht) de nieren beschermen, een effect evenwaardig met dat van 500 mg metformine per b.w.5 Dat effect verliep via de Nrf2-pathway, maar ook via remming van de ‘ontstekingsschakelaar’ NFκB.

Anti-aging

Nog drie troeven deden de aandacht vestigen op ergothioneïne. Het thion-thiol activeert de PI3K/AKT-pathway, die min of meer boven de Nrf2-pathway staat.6,7 De PI3K/AKT-pathway zit ook verstrengeld met de mTOR-signaalcascade,8 die diverse processen van celveroudering uitschakelt. Aan het lijstje mogen de sirtuïnen niet ontbreken, die invloed uitoefenen op metabole pathways en DNA-reparatie.

Nrf2, PI3K/AKT, mTOR en sirtuïnen: het zijn pathways die intensief onderzocht worden in het kader van anti-aging. Het gros van het onderzoek is echter gebaseerd op dierexperimenten, inclusief nematoden en fruitvliegjes.

Potentieel

Op vele weefsels (ziekten) heeft ergothioneïne volgens in-vitro-experimenten een heilzame werking: ogen (cataract), glucotoxiciteit, embryo, zenuwcellen, lever(schade), immuuncellen, rode bloedcellen (bloedarmoede), nier(fibrose), long(schade), geheugen, sperma (onvruchtbaarheid), endotheel (hart- en vaatziekte).2 Endotheelcellen kunnen ergothioneïne opnemen en hen beschermen tegen oxidatieve stress door hyperglykemie.1 Interessant is dat dit afhangt van de activiteit van de sirtuïnen 1 en 6.1

Een groot verschil tussen muizen en mensen is dat de ergothioneïne-transporter in de lever bij muizen veel actiever is dan bij mensen. Dat kan een verschil in fysiologische noden suggereren en is een interessant vraagstuk om op te lossen.1

Volgens toxiciteitsstudies is ergothioneïne erg veilig.2

Klinisch

Pas sinds 2017 weten we dat mensen ergothioneïne gretig opnemen en karig afstaan.9 De proef werd gedaan met gezonde volwassenen, maar markers voor oxidatieve stress daalden slechts trendmatig (niet-significant): minder DNA-schade, minder lipide-peroxidatie, minder urinezuur-oxidatie en minder proteïne-carbonylatie.

Uit een steekproef van ouderen die in Singapore wonen, bleek dat een lager plasmaniveau ergothioneïne samengaat met een slechtere cognitie. Na vijf jaar opvolging zagen de onderzoekers ook een snellere neergang van de cognitie.1

In een Zweedse cohort met 3.200 deelnemers en met 21 jaar opvolging was het plasmaniveau geassocieerd met coronaire hartziekte, hartsterfte en algemene mortaliteit.10 In die groep bleek ergothioneïne de beste vertegenwoordiger (biomarker) te zijn voor een ‘gezond en bewust voedingspatroon’. En zelfs los van geslacht, BMI, suikerspiegel, bloedvetten, bloeddruk, alochol en roken bleek ergothioneïne nog steeds geassocieerd te zijn met minder hartziekte.

Al dan niet toevallig: ergothioneïne daalt in het verouderende lichaam.3 Hogere bloedniveaus ergothioneïne worden ook geassocieerd met een minder optreden van parkinson, crohn en verouderingsgerelateerde kwetsbaarheid.3,11 Verdiepend onderzoek moet zich nog buigen over de causaliteit tussen ergothioneïne en ziekte.11

Een maaltijd bereid met onder meer 8 of 16 gram champignonpoeder doet het ergothioneïne-niveau in rode bloedcellen toenemen.12 Dat was voldoende voor een verlaging van triglyceriden.

Uit een Japanse studie bleek dat een ergothioneïne-rijk oesterzwamextract de hydratatie van de huid verbetert.13 De concentratie van ergothioneïne in de huid stond daarbij in verhouding met het huidvochtgehalte.

Voedingsbronnen

Bij uitstek halen we ergothioneïne uit paddenstoelen.1 Maar de variabiliteit is enorm. Analyses van de (witte) kweekchampignon kwamen uit op (grof omgerekend) 5 mg/kg tot 7.100 mg/kg drooggewicht. In hoeverre dit aan de analysetechniek of de kweekmethode ligt, is maar de vraag.

Oesterzwammen (pleurotus-soorten) laten het minder snel afweten. Het laagste cijfer is 1.000 mg/kg drooggewicht voor de gewone oesterzwam, maar een aantal analyses kwamen uit op 8.000-11.000 mg drooggewicht. Gehaltes in shiitakes schommelen tussen de 350 en 2.000 mg/kg drooggewicht.

Paddenstoelen zijn niet de enige bron van schimmels.1 Biergist is ook een schimmel, maar levert ergothioneïne slechts in sporenhoeveelheden. Tempeh, sojabonen gefermenteerd met Rhizopus oligosporus, bevat 200 mg/kg drooggewicht. In Japan zijn gefermenteerde rijstproducten in trek, die ook kleine maar noemenswaardige hoeveelheden bevatten. In Korea zitten in gefermenteerde shiitakes ruime hoeveelheden ergothioneïne.1

Voor wat andere voeding betreft: in Mexico bevatten asperges een opvallende hoeveelheid ergothioneïne (160 mg/kg drooggewicht), veel meer dan andere metingen in asperges.14 Nog een uitschieter is een meetwaarde in knoflook uit Singapore, 34 mg/kg drooggewicht. Orgaanvlees, met name lever en nier, bevatten niet onaardige hoeveelheden.1

Sporen van ergothioneïne vind je in bijna elke groente of fruit terug. Hoe komt het daar terecht? De meeste planten hebben een of meerdere schimmels aan de wortel zitten (mycorrhiza), die de plant aan mineralen helpen maar ook aan ergothioneïne.15 Een mycorrhizale interactie hoeft in feite geen voorwaarde te zijn. In elk geval is bewezen dat ploegen het ergothioneïne in maïs, sojabonen en haver verlaagt, vermoedelijk door verstoring van het bodemleven.15

In de microbiota in de darmen zitten wellicht producenten van ergothioneïne, afbrekers van ergothioneïne en pathogenen die het ergothioneïne voor eigen doeleinden gebruiken.15 De tuberculosebacterie en Aspergillus fumigatus zijn daar twee voorbeelden van.

Vitamine of niet?

De huidige stand van zaken laat uitschijnen dat ergothioneïne een antioxidant is zoals het lichaam zelf niet kan aanmaken. Aanwezigheid van een transporter specifiek voor ergothioneïne is een sterk argument om het een semi-essentieel nutriënt te noemen. Een veel bestudeerd facet is dat cellen in tijden van stress ergothioneïne gaan opstapelen.1,4 Dat suggereert dan weer een voorwaardelijk essentieel 'stressnutriënt'. Dat zal het kader moeten vormen waarin ergothioneïne klinisch getest zal worden.

Referenties
  1. Tian X, Thorne JL, Moore JB. Ergothioneine: an underrecognised dietary micronutrient required for healthy ageing? Br J Nutr. 2023; 129(1):104-114.
  2. Borodina I, Kenny LC, McCarthy CM, et al. The biology of ergothioneine, an antioxidant nutraceutical. Nutr Res Rev. 2020; 33(2):190-217.
  3. Cheah IK, Halliwell B. Ergothioneine, recent developments. Redox Biol. 2021; 42:101868.
  4. Paul BD. Ergothioneine: A Stress Vitamin with Antiaging, Vascular, and Neuroprotective Roles? Antioxid Redox Signal. 2022 Jun;36(16-18):1306-1317.
  5. Dare A, Channa ML, Nadar A. L-ergothioneine and its combination with metformin attenuates renal dysfunction in type-2 diabetic rat model by activating Nrf2 antioxidant pathway. Biomed Pharmacother. 2021 Sep;141:111921.
  6. Li Y, Gao J, Liu S, et al. Ergothioneine Protects Against UV-Induced Oxidative Stress Through the PI3K/AKT/Nrf2 Signaling Pathway. Clin Cosmet Investig Dermatol. 2024 Jun 4;17:1309-1319.
  7. Yu C, Xiao JH. The Keap1-Nrf2 System: A Mediator between Oxidative Stress and Aging. Oxid Med Cell Longev. 2021 Apr 19;2021:6635460.
  8. Apparoo Y, Phan CW, Kuppusamy UR, et al. Ergothioneine and its prospects as an anti-ageing compound. Exp Gerontol. 2022 Dec;170:111982.
  9. Cheah IK, Tang RM, Yew TS, et al. Administration of Pure Ergothioneine to Healthy Human Subjects: Uptake, Metabolism, and Effects on Biomarkers of Oxidative Damage and Inflammation. Antioxid Redox Signal. 2017 Feb 10;26(5):193-206.
  10. Smith E, Ottosson F, Hellstrand S, et al. Ergothioneine is associated with reduced mortality and decreased risk of cardiovascular disease. Heart. 2020 May;106(9):691-697.
  11. Halliwell B, Cheah I. Are age-related neurodegenerative diseases caused by a lack of the diet-derived compound ergothioneine? Free Radic Biol Med. 2024 May 1;217:60-67.
  12. Weigand-Heller AJ, Kris-Etherton PM, Beelman RB. The bioavailability of ergothioneine from mushrooms (Agaricus bisporus) and the acute effects on antioxidant capacity and biomarkers of inflammation. Prev Med. 2012 May;54 Suppl:S75-8.
  13. Hanayama M, Mori K, Ishimoto T, et al. Effects of an ergothioneine-rich Pleurotus sp. on skin moisturizing functions and facial conditions: a randomized, double-blind, placebo-controlled trial. Front Med (Lausanne). 2024 Jun 3;11:1396783.
  14. Halliwell B, Cheah IK, Tang RMY. Ergothioneine - a diet-derived antioxidant with therapeutic potential. FEBS Lett. 2018 Oct;592(20):3357-3366.
  15. Beelman RB, Phillips AT, Richie JP, et al. Health consequences of improving the content of ergothioneine in the food supply. FEBS Lett. 2022; 596(10):1231-1240.